Кручение
dF — элементарная площадка.
а
Чистый сдвиг
Чистый сдвиг — напряженное состояние, при котором по взаимно перпендикулярным
площадкам (граням) элемента возникают только касательные напряжения
Касательные напряжения где Q — сила, действующая вдоль грани, F — площадь грани. Площадки, по
которым действуют только касательные напряжения, называются площадками чистого
сдвига. Касательные напряжения на них — наибольшие. Чистый сдвиг можно
представить как одновременное сжатие и растяжение, происходящее по двум взаимно
перпендикулярным направлениям. Т.е. это частный случай плоского напряженного
состояния, при котором главные напряжения: s1= — s3 = t; s2= 0. Главные площадки составляют с
площадками чистого сдвига угол 45о.

y » относительный сдвиг или угол сдвига.
Закон Гука при сдвиге: g = t/G или t = G×g .
G — модуль сдвига или модуль упругости второго рода [МПа] — постоянная материала, характеризующая способность сопротивляться деформациям при сдвиге.
Потенциальная энергия при сдвиге:

Удельная потенциальная энергия деформации при сдвиг

где V=а×F — объем элемента. Учитывая закон Гука,

Вся потенциальная энергия при чистом сдвиге расходуется только на изменение формы, изменение объема при деформации сдвига равно нулю.
Круг Мора при чистом сдвиге.
Геометрические характеристики плоских сечений
Площадь

Статический момент элемента площадиdF относительно оси 0x — произведение элемента площади на расстояние "y" от оси 0x: dSx = y×dF
Просуммировав (проинтегрировав) такие произведения по всей площади фигуры, получаем статические моменты относительно осей y и x ;
[см3, м3, т.д.].
Закон гука.
Зако́н Гу́ка — утверждение, согласно которому деформация, возникающая в упругом теле (пружине, стержне, консоли, балке и т. д.), прямо пропорциональна силе упругости, возникающей в этом теле. Открыт в 1660 году английским учёным Робертом Гуком[1].
Закон Гука выполняется только при малых деформациях. При превышении предела пропорциональности связь между силой и деформацией становится нелинейной. Для многих сред закон Гука неприменим даже при малых деформациях
Для тонкого растяжимого стержня закон Гука имеет вид:
{\displaystyle F=k\Delta l.}
Коэффициент упругости зависит как от свойств материала, так и от размеров стержня. Можно выделить зависимость от размеров стержня (площади поперечного сечения {\displaystyle S} и длины {\displaystyle L}) явно, записав коэффициент упругости как
{\displaystyle k={\frac {ES}{L}}.}
Величина {\displaystyle E} называется модулем упругости первого рода, или модулем Юнга и является механической характеристикой материала.
Если ввести относительное удлинение {\displaystyle \varepsilon ={\frac {\Delta l}{L}}}и нормальное напряжение в поперечном сечении {\displaystyle \sigma ={\frac {F}{S}},}то закон Гука для относительны величин запишется как{\displaystyle \sigma =E\varepsilon \ .}
В такой форме он справедлив для любых малых объёмов материала.
Также при расчёте прямых стержней применяют запись закона Гука в относительной форме
Модуль сдвига
Модулем сдвига (упругости II рода) – называется физическая величина, характеризующая упругие свойства материалов и их способность сопротивляться сдвигающим деформациям.
Обозначается латинской буквой G,
единица измерения – Паскаль [Па] (гигапаскаль [ГПа])
Теоретически определяется отношением касательных напряжений τ к углу сдвига γ (рис. 1)
где
τ=F/A — касательные напряжения;
γ — угол сдвига;
F — сдвигающая сила;
A — площадь приложения силы F;
ΔS — величина
сдвига;
a — размер элемента.
Опытное значение определяется по результатам эксперимента по определению модуля упругости II рода.
Таблица 1. Сравнительные значения модуля для некоторых материалов
Материал |
Модуль сдвига |
Сталь |
80 |
Чугун |
45 |
Медь |
40 |
Титан |
40 |
Алюминий |
27 |
Стекло |
26,2 |
Модуль упругости II рода можно определить с помощью известных модуля Юнга E и коэффициента Пуассона ν:

Модуль сдвига является коэффициентом пропорциональности в законе Гука при сдвиге:
τ=Gγ
При расчетах на кручение, GIp – жесткость поперечного сечения вала, где Ip — полярный момент инерции поперечного сечения.
Внутренние силовые факторы при кручении
Кручением называется нагружение, при котором в поперечном сечении бруса возникает только один внутренний силовой фактор — крутящий момент.
Внешними нагрузками также являются две противоположно направленные пары сил.
Рассмотрим внутренние силовые факторы при кручении круглого бруса (рис. 26.1). Для этого рассечем брус плоскостью I и рассмотрим равновесие отсеченной части (рис. 26.1а). Сечение рассматриваем со стороны отброшенной части.
Внешний момент пары сил разворачивает участок бруса против часовой стрелки, внутренние силы упругости сопротивляются повороту. В каждой точке сечения возникает поперечная сила dQ (рис. 26.1б). Каждая точка сечения имеет симметричную, где возникает поперечная сила, направленная в обратную сторону. Эти силы образуют пару с моментом
dm = pdQ;
р — расстояние от точки до центра сечения. Сумма поперечных сил в сечении равна нулю:

С помощью интегрирования получим суммарный момент сил упругости, называемый крутящим моментом:
Практически крутящий момент определяется из условия равновесия отсеченной части бруса.
Крутящий момент в сечении равен сумме моментов внешних сил, действующих на отсеченную часть (рис. 26.1 в):

Эпюры крутящих моментов.
Рассмотрим пример построения эпюры крутящих моментов.
Пример 11.1. Построить эпюру крутящих моментов для стержня, изображенного на рис.11.10а.

Рис.11.10
Решение:
1. Разобьем вал на участки: I, II, III, IV и V.
2. Пользуясь правилом для определения крутящих моментов, изложенным выше, находим:





Крутящие моменты на участках I, II, III опредеделялись слева, на участках IV, V - справа.
3. Откладываем полученные моменты от базисной линии и строим эпюру крутящих моментов (Рис.11.10б).
Кручение круглого бруса поперечного сечения.
ОСНОВНЫЕ ПОЛОЖЕНИЯ
Кручением называется такой способ нагружения бруса, при котором в поперечных сечениях возникает только один внутренний силовой фактор — крутящий момент (рис. 2.5.1). Крутящий момент считается положительным, Мкр > 0, если наблюдатель, смотрящий со стороны внешней нормали, видит крутящий момент, направленный по часовой стрелке.

Рис. 2.5.1
Гипотезы
- 1. Осью бруса является прямая.
- 2. Гипотеза плоских сечений. Плоские сечения до деформации остаются плоскими и после деформации.
- 3. Считается, что при кручении в произвольной точке поперечного сечения возникает только касательное напряжение т, направленное под прямым углом к радиусу — вектору р.
Деформации кручения возникают в брусе при нагружении скручивающими моментами. Если брус под действием этих моментов находится в равновесии, то это значит, что алгебраическая сумма скручивающих моментов равна нулю: ХЛ/ = 0 — уравнение равновесия.
Скручивающие моменты обозначаются S. Кружок с точкой означает силу, направленную на наблюдателя (как бы острие стрелы), кружок с крестиком — силу, направленную от наблюдателя (как бы хвост стрелы). Эпюра крутящих моментов — это график, показывающий, как изменяется крутящий момент по длине бруса. Крутящий момент в сечении (по методу сечений) равен алгебраической сумме крутящих моментов, действующих по одну сторону от сечения (рис. 2.5.2).

Рис. 2.5.2
Алгебраическая сумма моментов справа от сечения I—I равна Л/, = -10 кНм.
Алгебраическая сумма моментов справа от сечения II—II равна -М + М2 = -10 кНм + 25 кНм = 15 кНм.
По этим данным строим эпюру крутящих моментов Mz
Напряжения в поперечном сечении
Сила Nx является равнодействующей внутренних силdN, действующих на бесконечно малых площадкахdA поперечного сечения площадью А. Так как Nx перпендикулярна сечению, то dN выражаются через нормальные напряжения
dN = σdA ,
Эксперименты показывают, что если на поверхность стержня нанести систему взаимно перпендикулярных линий (см. рис. 4.7), то после приложения продольной внешней силы линии переместятся параллель-
но самим себе. Это означает, что нормальные напряжения по поперечному сечению распределяются равномерно(одинаковы во
всех точках сечения). Если σ = const, то из формулы (4.9) получим
N = s× A ,
Следовательно, нормальное напряжение в поперечном сечении при растяжении (сжатии) равно отношению внутренней продольной оси в сечении к площади этого сечения.
Знак напряжения определяется знаком продольной си-
лы. Построим эпюру напряжений для ранее рассматриваемого приме-
ра (см. рис. 4.7). Пусть A1 = 0,2 ×10-3 м 2 , A2 = 0,4 ×10-3 м 2 .
Порядок построения эпюры напряжений sx тот же, что и эпюры
N x . При этом удобно использовать эпюру и выражения для Nx . Так как sx определяется не только от Nx , но и от Ax , то для данного стержня будем иметь четыре участка: ОА; АВ; ВС; СD.
Участок ОА (0 £ x1 £ a) : sx1 = N x1 = 0 ;

Угол закручивания.
Деформации валов при кручении заключаются в повороте одного сечения относительно другого.
Угол закручивания вала на длине Z определяется по формуле:
Если крутящий момент и величина GIρ, называемая жесткостью поперечного сечения при кручении, постоянны, для участка вала длиной l имеем:

Угол закручивания, приходящийся на единицу длины, называют относительным углом закручивания:

Расчет валов сводится к одновременному выполнению двух условий:
условию прочности:
условию жесткости:

Для стальных валов принимается:
допускаемое касательное напряжение
допускаемый относительный угол закручивания
Используя условия прочности и жесткости, как и при растяжении – сжатии можно решать три типа задач:
1. проверочный расчет, заключающийся в проверке выполнения условий прочности и жесткости при известных значениях крутящего момента, размеров и материала вала.
Проектировочный расчет, при котором вычисляются диаметры:
1. при этом берется большее из найденных значений, а затем принимается стандартное значение по ГОСТ.
2. Определение грузоподъемности вала:
из условия прочности
из условия жесткости

Из двух найденных значений крутящего момента необходимо принять меньшее.
При кручении, наряду с касательными напряжениями в поперечных сечениях, в соответствии с законом парности, касательные напряжения возникают и в продольных сечениях. Таким образом, во всех точках вала имеет место чистый сдвиг.
Главные напряжения σ1 = τ, σ3 = -τ наклонены под углом α=±45о к образующей.
Потенциальная энергия упругой деформации определяется по формуле
или для участка вала при постоянном T и GIρ

Условные прочности.
Для решения вопроса о прочности, в соответствии с принятым методом расчёта на прочность по допускаемым напряжениям и условием прочности (1.4), запишем это условие применительно к растянутому (сжатому) стержню.

где |Nmax| – максимальная по абсолютному значению продольная сила;
F – площадь поперечного сечения стержня;
[σ] – допускаемое напряжение.
При решении задач сопротивления материалов [σ] всегда задано. При расчётах машин или конструкций Нормы расчёта дают указания по поводу назначения или расчёта [σ]. Формула (2.3) применима для стержня из материала, имеющего одинаковую прочность на растяжение и на сжатие (например, для стали). Но если материал по-разному сопротивляется растяжению и сжатию (например, чугун) для расчёта на прочность необходимо учитывать знак продольной силы и записывать два условия прочности


где Nmax – наибольшая (растягивающая) продольная сила;
Nmin – наименьшая (сжимающая) продольная сила;
[σ+] и [σ-] – допускаемые напряжения на растяжение и на сжатие соответственно.
Значение N, входящее в условие прочности, определяется предварительно по эпюреN(рис.2.3.) или из расчёта статического равновесия конструкции.
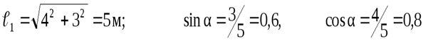
Рассмотрим пример. Необходимо определить размеры поперечного сечения стержней кронштейна, удерживающего нагрузку P= 100 кН (рис.2.6).
Стержень №1: стальной, круглый, [σ] = 160 МПа; стержень №2: деревянный, квадратный, [σ] = 12 МПа.

Сначала найдём усилия в стержнях. Для такой системы можно записать два уравнения статики:
∑ х = 0: – N2 – N1cos α = 0,
∑ y = 0: – P + N1sin α = 0.

Из уравнения ∑ y = 0 найдём

Из уравнения ∑ х = 0 найдём N2 = – N1cos α = – 166,7 ∙ 0,8 = – 133,3 кН.
Из условия прочности


При расчётах прочности величину допускаемого напряжения, заданную в МПа, перевели в кН/см2: 160 МПа = 16 кН/см2 и 12 МПа = 1,2 кН/см2. Теперь осталось определить размеры поперечных сечений.